算术平均值
- 浏览次数:25330次
- 发布时间:2015/2/21 21:04:15
- 作者:银河电气
1、对于n个量X1,X2,……,Xn,算术平均值等于各量之和除以n的商:

2、对于依赖于一个变量的量,算术平均值等于在该变量的两个给定值之间的积分除以此值之差的商:

注1:对于周期量,积分间隔包含整数个周期。
注2:量X的平均值可用
,(X)或X表示。
上述计算方法摘录自:GB/T 2900.1-2008 电工术语 基本术语 3.1.9
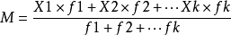
3、加权算数平均值:设原始数据为被分成K组,各组的组中的值为X1,X2,...,Xk,各组的频数分别为f1,f2,...,fk,加权算术平均数的计算公式为:

主要用于处理经分组整理的数据。 1、算术平均值是一个良好的集中量数,具有反应灵敏、确定严密、简明易解、计算简单、适合进一步演算和较小受抽样变化的影响等优点。
2、算术平均值易受极端值的影响。例如有下列资料:5、7、5、4、6、7、8、5、4、7、8、6、20,全部资料的平均值是7.1,实际上大部分数据(有10个)不超过7,如果去掉20,则剩下的12个数的平均数为6。
Tip:由此可见,极端值的出现,会使平均数的真实性受到干扰。
3、加权算术平均值同时受到两个因素的影响,一个是各组数值的大小,另一个是各组分布频数的多少。在数值不变的情况下,一组的频数越多,该组的数值对平均数的作用就大,反之,越小。
Tip:频数在加权算术平均数中起着权衡轻重的作用,这也是加权算术平均值“加权”的含义。